El número de Reynolds y el verdadero rendimiento del decantador lamelar
En muchos proyectos de decantación lamelar, el dimensionamiento se centra principalmente en la carga superficial, la superficie equivalente o la geometría del paquete de placas. Sin embargo, la experiencia de operación demuestra que decantadores aparentemente bien dimensionados pueden ofrecer rendimientos muy diferentes bajo condiciones hidráulicas similares.
Una de las causas más habituales de estas desviaciones se encuentra en la hidráulica interna del flujo entre placas, un aspecto menos visible pero decisivo. En este punto, el número de Reynolds emerge como un parámetro sencillo, pero extremadamente potente, para anticipar si el decantador trabajará cerca de su comportamiento ideal o si parte de su superficie quedará hidráulicamente desaprovechada.
Comprender cómo interpretar y aplicar correctamente este criterio permite al proyectista pasar de un diseño meramente correcto a un diseño verdaderamente robusto.
El papel del régimen hidráulico en la decantación lamelar
El principio básico de la decantación lamelar consiste en reducir la distancia de sedimentación de las partículas mediante múltiples superficies inclinadas, favoreciendo su deposición por gravedad.
Para que este mecanismo sea efectivo, es imprescindible que el flujo entre placas se mantenga ordenado y estable, es decir, en régimen laminar. La presencia de turbulencias genera:
- Remoción de partículas ya depositadas
- Mezcla vertical del licor
- Reducción de la eficiencia global de clarificación
Por tanto, el control del régimen hidráulico es tan relevante como la superficie equivalente del decantador.
Definición del número de Reynolds
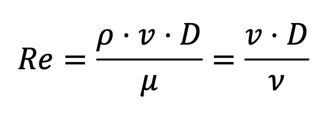
El número de Reynolds es un parámetro adimensional que expresa la relación entre fuerzas inerciales y fuerzas viscosas dentro de un fluido:

- 𝑣 = velocidad media del flujo (m/s)
- 𝐷 = dimensión característica (m)
- 𝝆 = densidad del fluido (kg/m³)
- 𝝁 = viscosidad dinámica (Pa·s)
- 𝝂 = viscosidad cinemática (m²/s)
En el caso de los decantadores lamelares, la dimensión característica no es el diámetro de una tubería, sino el espacio libre entre placas.
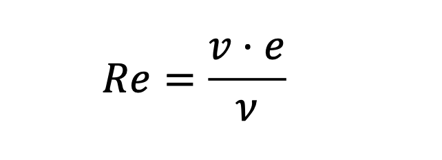
Formulación específica para decantadores lamelares
De forma práctica, el número de Reynolds entre placas se calcula como:

- 𝑣 = velocidad media del agua entre placas (m/s)
- 𝑒 = separación libre entre placas (m)
- 𝝂 = viscosidad cinemática del agua (≈ 1,0·10⁻⁶ m²/s a 20 °C)
La velocidad puede estimarse a partir del caudal y del área hidráulica efectiva del paquete lamelar.
Rangos recomendados de Reynolds
Aunque existen ligeras variaciones según bibliografía y fabricantes, se acepta de forma general:
- Re < 200 – 300 → Régimen laminar claramente establecido (objetivo de diseño)
- 300 < Re < 500 → Zona de transición
- Re > 500 → Incremento progresivo de inestabilidades
Muchos diseños conservadores adoptan valores objetivo Re ≤ 200 para maximizar la estabilidad hidráulica.
Importancia del número de Reynolds en la eficiencia de sedimentación
El objetivo último de un decantador lamelar es maximizar la fracción de partículas capturadas bajo unas condiciones hidráulicas controladas. En este contexto, el número de Reynolds no debe entenderse únicamente como un valor de comprobación, sino como un indicador directo de la calidad del entorno hidráulico en el que se produce la sedimentación.
Cuando el flujo entre placas se mantiene en régimen claramente laminar:
- Las trayectorias de las partículas son predecibles y estables.
- Se minimiza la dispersión transversal.
- La probabilidad de contacto entre partícula y superficie lamelar aumenta.
- El mecanismo de sedimentación se aproxima al comportamiento ideal teórico.
Desde un punto de vista práctico, esto significa que el rendimiento real del decantador se acerca al rendimiento esperado a partir de la carga superficial de diseño.
Por el contrario, a medida que el número de Reynolds aumenta:
- Aparecen microturbulencias y remolinos locales.
- Se incrementa la resuspensión de sólidos ya depositados.
- Parte de la superficie lamelar deja de ser hidráulicamente efectiva.
- Se reduce la fracción de partículas capturadas para una misma carga superficial.
Este efecto explica por qué dos decantadores con idéntica superficie equivalente pueden presentar comportamientos muy distintos si sus condiciones hidráulicas internas no son comparables.
En consecuencia, el número de Reynolds actúa como un factor corrector implícito de la superficie efectiva: valores bajos permiten aprovechar plenamente el paquete lamelar, mientras que valores elevados degradan su rendimiento.
Diversos fabricantes de paquetes lamelares y guías de diseño coinciden en recomendar valores objetivo de Reynolds bajos (habitualmente del orden de 200 o inferiores) como condición para garantizar un funcionamiento estable y predecible.

Implicaciones directas en el dimensionamiento
El número de Reynolds condiciona de forma directa varios parámetros de diseño:
Separación entre placas
Separaciones habituales: 40 – 60 mm. A mayor separación, mayor facilidad constructiva y menor riesgo de ensuciamiento, pero mayor Reynolds para una misma velocidad.
Velocidad entre placas
Depende del caudal tratado y de la sección hidráulica disponible. El incremento de velocidad aumenta linealmente el Reynolds.
Longitud de las placas
Aunque no interviene directamente en el Reynolds, una longitud suficiente asegura tiempo de residencia adecuado y desarrollo completo del régimen laminar.
Influencia de la temperatura
La viscosidad cinemática del agua aumenta a bajas temperaturas, lo que reduce el Reynolds para una misma velocidad.
A modo orientativo:
- 10 °C → 𝞶 ≈ 1,3 · 10⁻⁶ m²/s
- 20 °C → 𝞶 ≈ 1,0 · 10⁻⁶ m²/s
En climas fríos, el diseño puede resultar ligeramente más favorable desde el punto de vista hidráulico.
Diferencias entre ETAP y EDAR
- ETAP: partículas más finas, menor densidad, mayor sensibilidad a turbulencias → se recomiendan valores bajos de Reynolds.
- EDAR: sólidos primarios y biológicos más densos → mayor tolerancia, aunque sigue siendo recomendable mantener régimen laminar.
En ambos casos, el Reynolds no sustituye a la carga superficial, sino que la complementa.
Conclusiones
El número de Reynolds es un parámetro sencillo pero extremadamente útil para evaluar la calidad hidráulica de un decantador lamelar.
Su verificación durante el dimensionamiento permite:
- Reducir incertidumbres de rendimiento
- Evitar sobredimensionamientos innecesarios
- Aumentar la fiabilidad operativa
Incorporar este criterio junto con la carga superficial, la geometría del paquete lamelar y la calidad del agua a tratar conduce a diseños más robustos y predecibles.


